Doing research for a speech, Kelly Lovejoy found and sent the following quote:
|
Flat representations can't show these connections. Neither could an elaborate three-dimensional model, because when you consider what a thing is or what it's like, you not only make connections with other concepts, but experiences and emotions. You will have connections reaching into the past and the future, connections related to sounds, smells, tastes and textures. The more you know about something, the more you can know, because there are more and more hooks to hang more information on—more dots to connect.
I got the idea for this kind of graph from Trust the Children: A Manual and Activity Guide for Homeschooling and Alternative Learning by Anna Kealoha.
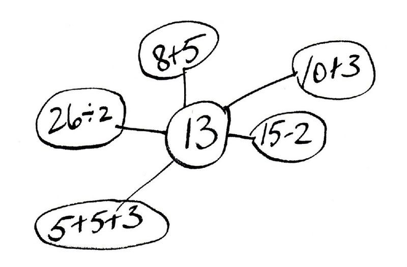
Here's a simple mathematical example:


And any of those can become "the center" and branch out to everything else in the whole wide world. But at the heart of this exercise is what is and what isn't: What IS a thing, and what is not the thing? What is like it and what is unlike it?

Another old word for that sort of thing is "ken" which survives in a few drinking songs and some phrases in Scottish dialect. It's the root word of "know" and "knowledge." (Now you can tell your kids why they're spelled with a "k"—being forms of "ken," so that the "k" was pronounced in those sword-yielding days of yore.) Knowing is more related to seeing, recognition and perception. Maybe its nearest Latinate equivalent is "awareness"—familiarity with a thing from direct experience—but "knowing" is stronger. It can be muscle deep when you know how to do something physical.
Each idea, object, concept, person, song, motion—anything you can think of—has personal associations for you. You have an incalculable mass of connections formed in your brain and will make more today, tomorrow, on the way home, and in your sleep.
What you know can be added to, or amended, but rarely deleted. Some things are best not learned, which is why it's so important to be careful what you say and how you say it (and to drive carefully, and all that).
Some people do try to encapsulate ideas or experiences and forget them. Sometimes other memories are shut off along with that. That's a good reason for analyzing traumatic events and sorting through instead of trying to encase them. Too many "do not enter areas" in your mind will slow down connections, and also will inhibit the biochemicals that help make learning fun and easy.
Happiness helps learning. Biochemically, joy is better than dismay. Optimism is better than negativity.

Jen Keefe, March 2020:
I’ve found it fascinating (I don’t use that word lightly) how many different things are connecting for me, as an adult, through learning to unschool well. I didn’t understand how things connected from school. Wars, geography, fractions, the Russian language... it was all individual stuff. I moved dutifully from one stand alone period to the next trying to do the bare minimum work not because I was lazy or stupid but because none of it *made sense*.Now, daily almost, I’ll watch or read or hear or be talking about something and I’ll think “oh my gosh! That’s connected!” Or, “That’s why that happened there.”
And honestly, it makes me sad for that little girl who could have moved through life in a totally different, and better, way had everything not been so disconnected. I tried to do school well and that had nothing to do with learning about history, math, science, music, or life.
I’m so incredibly grateful my kids *live* in the world where *everything* is connected. It’s wildly and joyfully healing, and more importantly, it’s raising thoughtful, compassionate, and, really smart kids- not book smart. Whole life and whole person smart.
—Jen Keefe
Connect the Drops, about what Pushpa's daughter Veda learned from her fascination with rain, puddles and thunder.
Hi Sandra,
You are always talking about making connections and I made one yesterday from something you wrote. You said on [UnschoolingDiscussion] that Keith bought a concertina. That reminded me of a conversation my husband Buck and I had many months ago. We were listening to the Harry Belafonte song "Angelina" (Angelina, Angelina/ Please bring down your concertina/ And play a welcome for me/ 'Cause I'll be coming home from sea) and we wondered what a concertina was and what it sounded like. We did some research and asked a musician friend. I bought the Harry Belafonte CD with "Angelina" after watching and liking his music in "Beetlejuice." It's just another cool connection that proves that learning is everywhere.
Recently we've been watching xxxHolic, and now have the manga series to read. It's fascinating on a number of levels, one of which is that it touches on mythology and folklore from several different cultures as well as pure fantasy - and we don't always know which. Sometimes, like this morning, I'll go and google something to find out for sure, but other times Mo will say "oh, I saw that in a Pokemon episode" or "that's like something I saw in My Little Pony" and it will give us both a reference point. Or she'll recognize a historical or literary reference in one comic or cartoon from having had it quoted in another - Spongebob is great for that, along with shows like Futurama and Ben Ten. In a little while, we're going to watch the xxxHolic version of A Midsummer Night's Dream and I'm wondering if she'll recognize it as a Shakespeare play she saw when she was 6 or 7. We'll see! She's just as likely to say "oh, I saw that on a cartoon - it's Shakespeare".
That's part of the magic of unschooling - information swirls around, connects and reconnects until you're not really sure where learning begins and ends and where any particular adventure will lead you.
[F]rom my point of view and from my experience, if art and music lead a kid conversation to Italy, and they make this connection at 10:30 at night, my choice is to say "Go to sleep" or to get excited with them, and tell them the Ninja Turtles were named after Renaissance artists, and that all the musical terminology we use, and most of early opera, came from Italy. That maybe the Roman Empire died, but Rome was not through being a center for advanced thought. Or however much of that a child cares about. And some of that will work better with an art book out, and maybe a map of the world. Look! Italy looks like a boot for sure, and look how close it is to Greece, and to the Middle East. Look who their neighbors are to the north and west, and how much seacoast they have. Look at their boats.Maybe the child is seven, though, and Italy isn't on the state's radar before 8th grade geography.
So I don't look at the state's requirements. I look at my child's opportunities. And I think the moment that the light is on in his eyes and he CARES about this tiny bit of history he has just put together, that he wants me to say "YES, isn't that cool? I was much older when I figured this out. You're lucky to have great thoughts late at night."
And if he goes to sleep thinking of a camera obscura or the Vatican or gondoliers or a young teenaged Mozart seeing Italy with his dad, meeting people who thought they would remain more famous than Mozart... I think back to the circumstances of my own bedtimes as a child and I WANT to fill him with pictures and ideas and happy connections before they go to sleep, if that's what he seems to want. I could be trying to go to sleep and being grouchy and he could be in another room trying to go to sleep and being sad, or we can go on idea-journeys and both go to sleep happy.
![]() |
Robbie has a new fascination with old cemeteries, old gravestones, etc., and over the last couple days we've gone to see cemeteries with gravestones from as far back as the 1700s (we're hoping to make it out to where I think there are some from the 1600s this evening).
So today he asked why there are so many old gravesites around where we live. I started saying that the Pilgrims landed in New England when they came over this way — and before I could say any more he stopped me and said with great excitement "Wait a minute — NEW England — England — they came from England and now we live in NEW England! HOW did I not match this up before??? How did I miss this??? NEW England — England — of course!!!"
It was awesome to see him make the connection in such an energetic and happy way — but my favorite was how he used the phrase "match this up" to describe his connecting-process. He matched it up! And now it's his forever, that little piece of connection-knowledge. 🙂
Colleen
(in 2012 or so)
Right now, my son is eating breakfast, and I can hear him explaining to his dad that Celtic round houses had thatched roofs that were made in such a way as to allow smoke from cooking fires to go up through the roof but at the same time to prevent rain from coming in.This conversation started when Robbie said that he thought that things that were built before the Renaissance were better than things that have been built since then. His dad replied that he liked modern roofs, because they don't leak. Turns out old-time roofs didn't leak either. 🙂
Robbie knows about this because he has been reading, talking, and watching documentaries about historical buildings, events, civilizations, and wars for months now - his interest in history is second only to his interest in birds right now. He has more information about the Crusades, the Romans, the Persians, and motte and bailey castles in his head than I ever had through my 12 years of public school and my 4 years of college. He ponders what he has learned and connects it to what he sees in our modern world. He explains the differences and similarities between Rome and Carthage with an understanding that is amazing - and he says often than he wishes he could visit Byzantium so he could see them set the water on fire (a battle technique he finds fascinating).
The other day, when we were on our way to a cemetery in Boston to look for Spring (bird) migrants, he had two history encyclopedias open in his lap, and he was excitedly explaining to me that there was a discrepancy - one had information about the tomb of Darius the First, and the other had the same tomb pictured and was saying it belonged to Cyrus the Great. He asked for the iPad, and we were Googling information about Persian burial sites as my husband drove us down I93 through traffic.
I said at the time, to my husband, that I wondered what he and I would have filled our brains and lives with, had we not been in school where we were told what we had to learn about and what we had to memorize. And we both were so happy that our son has the time and the space to explore whatever draws him in and whatever strikes him as fabulous or curious or worthy of a moment or a week or a lifetime. It's pretty cool, this unschooling life. 🙂
—Colleen Prieto
[S]omeone's son had watched a Romeo and Juliet movie, in school, and someone else suggested he might like to watch "West Side Story," too. Earlier, on that same list, we'd been talking about the energy it takes to unschool and whether someone who considers herself sort of a "slug" (her words) could be a good unschooling parent.
So here it is:
Here are some connections for you (this is the perfect example of what my family's unschooling life is like).Roxana was working on a piece from "West Side Story," recently, for a musical theater techniques class. We've seen Romeo and Juliet performed live, watched the old Zeffirelli film with Olivia Hussey, watched the newer Baz Luhrman movie, watched the wonderful West Side Story movie with Natalie Wood and Rita Moreno. So, listening to Rox singing the piece from West Side Story, over the past couple of months, it occurred to me to listen to some other music I'd find connected to this play, just for fun. So I started googling "Romeo and Juliet" and "West Side Story."
First thing was, of course, that the music in WSS is by Leonard Bernstein—so I looked at what he'd written, to see what might be of interest to my kids. Oh YES! He wrote the score to "On the Waterfront," the classic film starring Marlon Brando and directed by Elia Kazan. So - let's rent that movie (kids have never seen it) and, while watching, just be aware that Bernstein (remember WSS) composed the score. Okay! But—there is something else interesting here. We've seen and loved, "The Crucible," by Arthur Miller. Turns out "On the Waterfront" was Kazan's response to Miller's, "The Crucible." So—some interesting discussion possibilities, there.
But, back to the music. I remember the beautiful theme from the Zeffirelli movie, couldn't find any particularly interesting connections related to that, but, while looking, I read somewhere that Olivia Hussey (Juliet) wasn't allowed in to see the movie at a theater she went to - because it was rated R and she was only 16. It was rated R because of a scene in which she, herself, is topless. So—a funny tidbit and maybe something to stir up a discussion about censorship (oh—THERE is a possible connection to "The Crucible," which is ostensibly about the Salem witch trials, but is really about McCarthyism).
My favorite connection to the music, though, is that the love theme part of Tchaikovsky's orchestral piece, "Romeo and Juliet," written in the late 1800's, has been used in all kinds of very modern movies and tv shows—"Wayne's World," "Ren and Stimpy," for example AND—in the game, "The SIMS." Now THAT is a relevant historical connection for my kids - who love "The SIMS."
And on and on—one thing leads to another which leads to another. I've always been the sort of cook who drops ingredients into the pot and stirs and the kid stick in their spoons and try samples. They might love it and take a whole bowl full, or a quick taste might be all they want.
What has happened, though, is that they now cook for themselves and for the rest of us, too—so it isn't just ME coming up with all these connections, anymore, we all do it.
And, of course, the internet provides amazing access to endless amounts of instant information and that is very often, but not always, where we get ideas for our best ingredients.
AND - if you do enough of this kind of thing - some really unexpected coincidences happen. Like this: it is my brother-in-law's birthday and this morning I called my sister and asked her what he might like for a gift. She said, "He's been wanting a Dire Straits CD—'Sultan's of Swing'". Okay—that's great—I go to buy it and guess what, it has a GREAT song on it about you-know-who! Yep, Romeo and Juliet. So, I can't resist, I buy the song off iTunes and listen to it and, in the song, standing on her balcony, Juliet looks down and sings, "Hey-la my boyfriend's back," which makes me laugh out loud and I explain the connection to the song by some girl-group of the early 1960's and pretty soon we're talking about the status of women and how girls were raised and .....okay, I'll stop for now!
-pam
So then you can go to that silly movie about the teenage zombie, "My Boyfriend's Back" (aka "Johnnie Zombie")
Deb Lewis:
And Mark Knopfler of Dire Straights wrote the musical score for the movie "The Princess Bride" (and has a dinosaur named after him: Masiakasaurus knopfleri—because the guy who found it was listening to Dire Straights at the time). 🙂—Deb Lewis,
Dire Straights fan.
I'm old enough to remember my mom ironing while listening to radio shows—Gunsmoke, Suspense, Amos and Andy, Bing Crosby, Dragnet, Fibber McGee and Molly, Have Gun Will Travel, and The Lone Ranger. Some of them became tv shows, later, but even the names bring back the smell of a steam iron, to me. 🙂
I'm a little younger than Pam. I barely missed the radio-show days. I remember TV, but it was black and white and had three channels. I didn't know, when I was little, how new that TV was. It was in a "blond-wood" box with doors that closed it up, altogether about the size of a floor-standing radio. We had it until we got our first color TV in 1968 or '69. When we got the color TV and it was the night of the annual broadcast of The Wizard of Oz, our living room filled up with other neighborhood kids who also had not seen Oz in color.
I have two Holly stories to go with all this. One birthday a few years back Holly asked for '80's clothes, and several of our adult friends were able to reach into their closets and shower her with treasure. One of the dresses went to the cleaner's Friday this week (6/16/06). It's shimmery blue with five straps on each side and a shaped front kind of like a built-in bra, or armor. Hard to describe, but Holly looks good in it and mixes it with other pieces in an artsy way.
She had never been to the cleaners, because we're quite a t-shirts and jeans family, and we've always had a washer and dryer. Everything was new to her and that was fun. I had no idea how much it would cost ($7), and we got there too late to pick the dress up the next day.
Right after that she, Marty and I were talking about cleaners' and laundries, and Marty said it seemed the cleaners were run by Asians (this one, near our house, is), and we discussed why that might have begun as family businesses. When I was little it wasn't true in northern New Mexico, but in some places in the U.S. it's probably been the case for 150 years. I told them that my mom used to do people's ironing for 10 cents an item, in the 1940s, when she was a teen. It was a common cottage industry in those days, laundry. I don't know now, I said, whether people ever do have others do their laundry for them in their homes. Several of my older female relatives spoke of doing others' laundry for money, though, even when they were hauling water in barrels and heating it over fires or on woodstoves in the winter, and washing it in tubs with washboards, or in electric washers with wringers (so that it was rinsed in tubs, which is the way we did it at my house until about the time we got that color TV).
The wringer tied in twice this week. Holly and I read Dar Williams' book Amalee, in which the phrase "ran him through the ringer" or some such is used, and it's wrong. Holly pointed out something she thought was an error in the book, and I told her that the "ringer" should have been "wringer," but most younger people have no idea what a "wringer" is or what it would mean to be run through a wringer.
Then Holly and I were looking at a WWII history site showing a wartime home in London. They showed laundry equipment outside the back door, and their wringer was called a "mangle." I had seen that word in passing, reading British this-or-that, but hadn't seen a labelled photo. It wasn't just like ours here. Cool.
I'll be 53 this year, and I was born in 1953. I was joking about that on Wednesday (6/14/06) and told Holly I was born in the 50s and was 50 and as she was born in the 90s she must be 90. She said not only was I born in the 50s, but I was born in '53 and would be 53. She spun off excitedly into all KINDS of talk of calculations and patterns at which I was totally baffled. She was asking me to double people's birth years. I could add 86 and 86, and 56 and 56—that much math I could do, and she couldn't do it fast in her head, but once I gave her the total, she would get even more animated.
I knew she was excited, and Keith and Marty weren't home, so we called Pam Sorooshian so Holly could share the exciting math news. Part of it was that such a thing only happens in even-numbered years—a person only turns the age of the year in which he was born on an even numbered year. But there was more. There was some excitement about it turning the corner of a century which I didn't get. There was some excitement about it being rare, and not happening much for people her age because so few of them will live to be 91.
"Once in a lifetime, but not in everyone's lifetime." Some will be too young to know or care; some will miss it altogether.
All those things are connected. People know what they know partly because of when they were born, and where (geographically and socially). Some of you knew what a mangle was because you live where you might not have known what a wringer was. Some of you probably have no relatives who ever did laundry for others, or thought only Asians did laundry for others. Some of you are Asians whose families never did laundry for others, maybe, and resent the mention. Some of you might never have had a washer or dryer, living in an apartment house without them, or in a place where using public laundries is more common. Some own the machinery, but it is operated by paid help. Some of you understood immediately that you couldn't possibly turn the age of the year you were born in an odd-numbered year. Some of you might be saddened by the scariness of the mathematical excitement of others, as I was.
Connections won't be the same for any two people, but talking about those connections will help our children, and us, understand more and more of everything. We can't know all of everything, but we can know more of everything.
|
Holly and the Bible (a.k.a. "A Fascination with Religion")
How Elvis Appears to Unschoolers
Jubilation and Triangulation | Gilligan's Island |
This "connections" page got a link and a review, kind of, on the blog of Melissa Wiley
JAMES BURKE
"I learned more from these shows than from 12 years of public schooling. Thanks." (I don't remember who wrote that, but it's a sentiment shared by many..)
In the late 1970s, PBS showed the first season of this British/BBC series. You can see the list of episodes here on Wikipedia, and then look them up at this site, which seems to have them all, but not in order:
He did a later series called The Day the Universe Changed, and this site has them: DailyMotion.com
They're listed in order and described on Wikipedia, here.